Dossier


URU - Revista de Comunicación y Cultura, No. 12
(Julio - Diciembre 2025), 42-59. e-ISSN: 2631-2514


Herramientas multimedia para fortalecer la competencia digital en los docentes


Multimedia Tools to Strengthen Digital Competence in Teachers


DOI: https://doi.org/10.32719/26312514.2025.12.4


Recepción: 22/02/2025, revisión: 21/04/2025,
aceptación: 15/05/2025, publicación: 04/07/2025.




Emilio Jhon Díaz Espinel ORCID

Universidad Técnica de Manabí Portoviejo, Ecuador ediaz6919@utm.edu.ec


Mauro Hernán Ocaña Garzón ORCID

Universidad Técnica de Manabí Portoviejo, Ecuador mauro.ocana@utm.edu.ec


Karina Luzdelia Mendoza Bravo ORCID

Universidad Técnica de Manabí Portoviejo, Ecuador karina.mendoza@utm.edu.ec

RESUMEN

La investigación aborda el uso de herramientas multimedia como estrategia para fortalecer las competencias digitales en los docentes, en un entorno donde los avances tecnológicos exigen adaptaciones significativas en la educación. Ante la problemática de una limitada formación digital en el profesorado, se estableció como objetivo desarrollar una estrategia formativa basada en herramientas multimedia que contribuyan a fortalecer las competencias digitales mediante la identificación de herramientas utilizadas, así como la evaluación de competencias digitales para proponer estrategias de mejora. El estudio, de enfoque cuantitativo, utilizó encuestas aplicadas a 177 docentes, cuyos datos fueron analizados estadísticamente. Los resultados de antecedentes teóricos muestran que herramientas como Canva y PowerPoint son ampliamente aceptadas. El análisis estadístico indicó una correlación positiva alta entre el uso de herramientas multimedia y el fortalecimiento de competencias digitales; se destaca que áreas avanzadas como la edición audiovisual requieren mayor atención. Las herramientas multimedia tienen un impacto positivo en la enseñanza, pero su implementación ha venido enfrentando desafíos técnicos y formativos. Se concluye la importancia de desarrollar programas de capacitación permanente, mejorar la infraestructura tecnológica y promover políticas institucionales que faciliten la integración efectiva de estas herramientas, para garantizar un aprendizaje adaptado a las demandas del siglo XXI.

Palabras clave: herramientas multimedia, competencias digitales, docentes, capacitación, innovación educativa, impacto, aprendizaje, estrategia


ABSTRACT

The research addresses the use of multimedia tools as a strategy to strengthen the digital competencies of teachers, in a context where technological progress demands significant adaptations in education. Faced with the problem of limited digital training of teachers, the objective was to develop a training strategy based on multimedia tools that contribute to the strengthening of digital competence in teachers; having as specific objectives: to identify tools used, evaluate digital competencies and propose strategies for improvement. The study, with a quantitative approach, used surveys applied to 177 teachers, whose data were statistically analyzed. The results of the theoretical background show that tools such as Canva and PowerPoint are widely accepted. The statistical analysis indicated a high positive correlation (ρ=0.942\rho=0.942ρ=0.942ρ=0.942) between the use of multimedia tools and the strengthening of digital competencies, highlighting that advanced areas, such as audiovisual editing, require greater attention. The positive impact of multimedia tools in teaching is highlighted, but their implementation has been facing technical and formative challenges, so this work presents a contribution to the training of teachers’ competence using the benefits of multimedia tools. It concludes on the importance of developing permanent training programs, improving the technological infrastructure and promoting institutional policies that facilitate the effective integration of these tools, thus guaranteeing learning adapted to the demands of the 21st century.

Keywords: multimedia tools, digital competencies, teachers, training, educational innovation, impact, learning, strategy





Introducción


En la actualidad, el avance tecnológico ha transformado el entorno educativo, exigiendo a los docentes adaptarse a nuevos entornos digitales que potencien su práctica pedagógica. La competencia digital se entiende como la capacidad de integrar tecnologías de manera efectiva en el proceso de aprendizaje. Estas son necesarias para combatir los desafíos de la educación en un mundo tecnológicamente avanzado; sin embargo, en algunos ambientes educativos, los docentes carecen de las habilidades y los conocimientos necesarios para beneficiarse del potencial de este instrumento, lo que limita sus ventajas.

En Ecuador, el Ministerio de Educación ha impulsado la incorporación de tecnologías digitales en las aulas de clases a través de políticas como el Plan Nacional de Transformación Digital. A pesar del empeño que se realiza, la competencia digital de los docentes es baja, particularmente en la utilización de herramientas multimedia para el aprendizaje de los estudiantes, lo que acota la operatividad de estas políticas. Con solo un 66 % de los hogares con acceso a internet, Ecuador ha mejorado en comparación a años anteriores, pero existe un vacío entre áreas rurales y urbanas que sigue siendo notable. Como dato, en las zonas urbanas hay un 73,6 % de acceso a internet, mientras que en las zonas rurales este valor es del 34 % (EC Ministerio de Telecomunicaciones y de la Sociedad de la Información 2022).

En las instituciones del cantón Chone se evidencia esta problemática. Pese a que los docentes cuentan con acceso básico a recursos digitales, la utilización de herramientas multimedia se ha limitado a funciones administrativas, y no se las incorpora a la pedagogía. Esto se debe a que no hay capacitación específica y de planificación institucional que fortalezca las competencias digitales, lo que afecta la calidad de aprendizaje de los estudiantes. Estos antecedentes llevaron a formular el siguiente problema: ¿cómo contribuir al desarrollo de competencias digitales en los docentes de bachillerato del cantón Chone?

Este trabajo es importante porque por medio de él podemos analizar e identificar los problemas que existen en la competencia digital de los docentes, y diseñar estrategias formativas que, por el contrario, la impulsen. Esto beneficiará a los docentes y estudiantes en el entorno del aprendizaje, al alinearse con la educación moderna y las demandas tecnológicas.

La investigación tiene como objetivo desarrollar una estrategia formativa basada en herramientas multimedia que contribuyan al fortalecimiento de la competencia digital en los docentes, al tiempo que proporcionan evidencia sobre su uso y efectividad. Los objetivos específicos incluyen: 1. identificar referentes teóricos que sustenten las herramientas multimedia más utilizadas por los docentes; 2. evaluar el nivel de competencias digitales en docentes a través de estándares educativos internacionales; y 3. proponer acciones basadas en herramientas multimedia para favorecer las competencias digitales de los docentes.

La metodología utilizada es de enfoque cuantitativo, mediante la aplicación de una encuesta a una muestra representativa de docentes de bachillerato en Chone. Los datos obtenidos se analizaron estadísticamente para identificar patrones de uso, niveles de competencia digital y áreas a tomar en cuenta para su mejora. La hipótesis plantea que el uso de herramientas multimedia fortalece significativamente la competencia digital de los docentes, al mejorar su capacidad de enfrentar los desafíos educativos dentro de las aulas de clase.

La novedad científica de este artículo busca generar conocimiento sobre la importancia y el impacto de la competencia digital en los docentes en el entorno educativo, así como ofrecer propuestas claras y prácticas para que la enseñanza sea de calidad y se adapte a las demandas tecnológicas actuales.

La competencia digital en el contexto educativo

La competencia digital es fundamental para los educadores en el siglo XXI. Se la define como la capacidad para usar tecnologías de manera eficiente, colaborativa y segura en el ámbito educativo (UNESCO 2024). Estas habilidades incluyen el uso de herramientas digitales, la innovación de contenido multimedia, la comunicación en espacios digitales y la resolución de problemas mediante la utilización de la tecnología. Según el Marco Europeo de Competencia Digital para Educadores (DigCompEdu), las competencias digitales se clasifican en áreas como compromiso profesional, enseñanza digital y empoderamiento del estudiante en las aulas de clase (ES Instituto Nacional de Tecnologías Educativas y de Formación del Profesorado [INTEF] 2022).

Los docentes deben desarrollar habilidades digitales para fortalecer las relaciones de estudio y optimizar su tiempo en el proceso de enseñanza-aprendizaje, por ejemplo, mediante el desarrollo virtual en el aula (Lozano, Amores y Olmedo 2021). Estas competencias no solo promueven prácticas pedagógicas innovadoras, sino que también permiten una mayor interacción y participación de los estudiantes, con lo que fomentan aprendizajes significativos.

Importancia de la competencia digital en docentes

La importancia de la competencia digital docente ha sido analizada a partir de múltiples perspectivas, desde revisiones sistemáticas que revelan que se carece de un adecuado entrenamiento al respecto, hasta diversos instrumentos que se han aplicado para su evaluación: DC Scale for Teachers (Alarfaj y Alrashidi 2025), DigCompEdu e incluso algoritmos de aprendizaje de máquina. Estas competencias servirían como una herramienta eficaz para el logro de metas institucionales en el sector educativo; por ello se requiere de docentes calificados en esta área (Montalvo, Villena y Franco 2022).

Usar creativamente y con seguridad estos recursos tecnológicos para alcanzar los objetivos -relacionados con el trabajo, el aprendizaje, el tiempo libre, etc.- y para actuar en la sociedad también requiere conocimientos, habilidades y destrezas vinculados con el desarrollo eficiente de las competencias. Pero todo esto no será posible si no se mantiene una actitud reflexiva y apegada a la realidad sobre las tecnologías (Montalvo, Villena y Franco 2022).

Impacto de la competencia digital en el mundo laboral

La competencia digital tiene un impacto significativo en el ámbito laboral, pues es necesaria para muchas profesiones. La utilización de herramientas multimedia -por ejemplo, softwares de diseño gráfico o sistemas de comunicación en línea- son tan imprescindibles hoy en la educación como lo son para la medicina, la ingeniería y el marketing digital. Se trata más que de simplemente adquirir destrezas técnicas: se apunta a desarrollar capacidades de pensamiento crítico, resolución de problemas y creatividad. La digitalización, combinada con la comprensión y la utilización de la tecnología, es esencial para el desarrollo humano en un mundo como el nuestro (Aparicio, Ostos y Von Feigenblatt 2023).

La digitalización en entornos educativos es importante en la primaria y la secundaria como parte de la formación profesional y el aprendizaje de los estudiantes, porque por medio de ella se garantiza la plena integración y la participación activa en la sociedad. La competencia digital, particularmente, proporciona las herramientas necesarias para actualizarse e incorporar habilidades en el desarrollo personal y profesional, con el objetivo de adaptarse al cambio continuo de la tecnología (Fernández 2021).

Herramientas multimedia en la educación

Las herramientas multimedia utilizadas en la educación implican software y plataformas digitales que integran múltiples formatos de contenido (como texto, imágenes, productos audiovisuales, etc.) para fortalecer el proceso educativo y fomentar la integración y el aprendizaje activo de los estudiantes (Bermúdez y Pazmiño 2022). Algunos ejemplos incluyen software de presentación (como PowerPoint y Google Slides), plataformas de video educativo (como YouTube y Khan Academy), herramientas de creación de contenido interactivo (como Kahoot! y H5P) y aplicaciones de diseño gráfico y edición de video (como Canva y Adobe Spark). Estas herramientas permiten un aprendizaje más atractivo, accesible y efectivo, pues ayudan a cubrir diversos estilos de aprendizaje y necesidades educativas (Salazar et al. 2024).

Beneficios del uso de las herramientas multimedia en la educación

La educación se mantiene siempre al día con las nuevas tendencias tecnológicas y no puede estar alejada de ellas, ya que en gran porcentaje dominan nuestra vida. De ello se derivan beneficios como los siguientes:

  • Mejora de la comprensión: Al combinar diferentes medios (texto, imagen, video), se favorece una comprensión más profunda de los conceptos.

  • Fomento de la participación activa: Las herramientas multimedia ayudan a crear actividades interactivas que incentiven a los estudiantes a ser más participativos, y permiten que tengan un aprendizaje de calidad.

  • Accesibilidad: Ayuda a que los estudiantes desarrollen su conocimiento a su propio ritmo, a partir de un mejor acceso a los materiales y desde cualquier lugar del mundo.

  • Desarrollo de destrezas digitales: Los estudiantes no solo adquieren el conocimiento de contenidos académicos, sino también la utilización de herramientas digitales de manera positiva (Jurado 2022).

Impacto de las herramientas multimedia en la educación

Las herramientas multimedia han generado un impacto positivo en el proceso de enseñanza-aprendizaje, al favorecer una experiencia más interactiva y dinámica. Estos elementos modernizan la comprensión y retención de la información, adaptándose a los cambios en la educación. Además, contribuyen a la participación activa, el trabajo colaborativo y el desarrollo de habilidades digitales (Navarro 2023).

Cusme (2023) resalta que estas herramientas permiten acceso a los contenidos en el momento en que se las requiera y en el lugar en que nos encontremos, de modo que impulsan un aprendizaje autónomo. No obstante, existen algunos desafíos, como la desigualdad en el acceso a la tecnología y la escasa formación de los docentes.

Navarro (2023) indica que la incorporación de las herramientas multimedia en el ámbito educativo no puede estar alejada del contexto social; es una tendencia creciente que busca mejorar las estrategias didácticas, los recursos y los materiales de apoyo para hacerlos más atractivos. La manera de incorporar las tecnologías de la información y la comunicación en la educación es brindando a los docentes capacitaciones en el manejo de dichas herramientas.


Materiales y métodos


Enfoque

La investigación tiene un enfoque cuantitativo, orientado a medir la utilización del uso de herramientas multimedia en el fortalecimiento de la competencia digital de los docentes. Este enfoque nos ayuda a recopilar datos precisos y a analizar los resultados estadísticos entre las variables clave: herramientas multimedia y nivel de competencia digital.

Tipo de investigación

Se trata de una investigación descriptiva y correlacional. Es descriptiva porque busca caracterizar las herramientas multimedia más utilizadas por los docentes y su nivel de competencia digital. Es correlacional porque analiza la relación entre el uso de herramientas multimedia y el fortalecimiento de las competencias digitales docentes.

Población y muestra

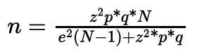
Para el estudio se empleó una muestra probabilística de la población de 1826 docentes de Chone, es decir, el número de docentes registrados por el Ministerio de Educación (2020). Se aplicó la siguiente formula:

n12a03image001.png

donde N es el tamaño de la población, n es el tamaño muestral, p es la probabilidad de éxito (0,5, es decir, el 50 %), e es el error admitido, q es la probabilidad de fracaso (0,5, es decir, el 50 %) y z 2 es la variable de distribución (1,96).

Se empleó un margen de error del 5 % y un nivel de confianza del 95 % (Hernández Sampieri, Fernández y Baptista 2023). Por lo tanto:

n12a03image002.png

Técnica de recolección de datos

La recolección de datos se llevó a cabo mediante la aplicación de una encuesta estructurada de veinte preguntas basadas en una escala numérica (Pérez et al. 2024). Para este tipo de medida puede utilizarse cualquier unidad, y siempre admite el cálculo de proporciones, porcentajes y razones.


Tabla 1 Escala numérica

Escala numérica
Nivel bajo Nivel medio Nivel alto
1 2 3 4 5 6 7 8 9 10

Elaboración propia.


Procesamiento de datos

Los datos recopilados se organizaron en una base de datos. Se utilizó el software IBM SPSS Statistics 30.0.0 para realizar una estadística descriptiva e identificar cuáles fueron las herramientas utilizadas y las áreas de competencia digital más desarrolladas en el ámbito educativo. También se calculó la correlación entre el uso de herramientas multimedia y los niveles de competencia digital.


Resultados


Resultados cuantitativos

Tabla 2 Estadísticas de fiabilidad

Alfa de Cronbach N de elementos
0,982 20

Elaboración propia.


La tabla 2 presenta las estadísticas de fiabilidad de una escala compuesta por veinte ítems. El valor del alfa de Cronbach es 0,982, lo que indica un nivel de fiabilidad aceptable. Esto sugiere que los ítems tienen una consistencia interna suficiente para medir el constructo evaluado, pero que podría mejorarse. Por otro lado, el alfa de Cronbach basado en elementos estandarizados es 0,983, lo que refleja un incremento en la fiabilidad al estandarizar los ítems. Los valores obtenidos reflejan una consistencia interna aceptable, especialmente el último, lo que garantiza que el instrumento fue bien diseñado y que los datos son confiables para evaluar las competencias digitales planteadas en la investigación.


Tabla 3 Rho de Spearman y variables

Correlaciones
VI VD
Rho de Spearman VI Coeficiente de correlación 1,000 0,942*
Sig. (bilateral) - 0,000
N 177 177
VD Coeficiente de correlación 0,942* 1,000
Sig. (bilateral) 0,000 -
N 177 177

Nota: *La correlación es significativa en el nivel 0,01 (bilateral).

Elaboración propia.


La tabla 3 muestra los resultados del análisis de correlación de Spearman entre las variables independiente (VI) y dependiente (VD). Se observa una correlación positiva y significativa al nivel del 0,01 (bilateral):

  • Entre la VI y la VD, el coeficiente de correlación es 0,942, lo que indica una relación positiva altamente significativa (p = 0,000; p = 0,000).

  • Entre las variables de forma interna, se destaca un coeficiente de 0,942, que refleja una relación alta y significativa (p = 0,000; p = 0,000).

Estos resultados sugieren que hay una relación bastante significativa entre las variables evaluadas, lo cual respalda la hipótesis planteada en la investigación sobre la influencia del uso de herramientas multimedia en el fortalecimiento de la competencia digital docente.


Figura 1 Información y alfabetización digital.

n12a03image003.png

Elaboración propia.


Los elementos de la figura 1 muestran que los niveles de comprensión más frecuentes son aquellos en los valores altos (5-8), especialmente en las preguntas Q8 y Q10. No obstante, existe variación en Q7 y Q9, con puntuaciones distribuidas de manera más heterogénea, aunque no concentradas en un solo valor, sino que varían bastante, lo que indica diferentes niveles de conocimiento. Por esta razón, en la categoría de información y alfabetización digital, el 44,1 % de los encuestados está en el nivel medio y el 32,2 %, en el nivel bajo. Solo el 23,7 % está en nivel alto, por lo que se entiende que los docentes necesitan capacitación para mejorar su alfabetización digital.


Figura 2 Comunicación y colaboración digital.

n12a03image004.png

Elaboración propia.


Los elementos de la figura 2 muestran los niveles de comprensión, que están en valores altos (6-10), especialmente en las preguntas Q4, Q13 y Q20. De todos modos, existe variación en Q5 y Q14, es decir, las respuestas están más distribuidas. Por su parte, en Q4 y Q13, la mayoría respondió "10", lo que significa que se sienten muy cómodos en la comunicación y la colaboración digitales. Por esta razón, para la dimensión 2 (comunicación y colaboración digital), el 52,4 % de los encuestados está en el nivel medio y el 29,4 %, en el nivel bajo. Solo el 19,2 % se posiciona en el nivel alto, lo que indica que los docentes necesitan más interacción con herramientas digitales colaborativas y, por lo tanto, deben adaptar sus prácticas pedagógicas al uso de herramientas digitales para personalizar el aprendizaje de los estudiantes.


Figura 3 Creación de contenido digital.

n12a03image005.png

Elaboración propia.


Los elementos de la figura 3 muestran los niveles de comprensión, que están en valores altos (6-10), especialmente en las preguntas Q11, Q15, Q16 y Q19. A pesar de ello existe variabilidad en conocimientos en Q3 y Q6. En Q6, la mayoría respondió en el intervalo 1-3; esto quiere decir que está en un nivel bajo, lo que significa que una parte de los encuestados se siente poco competente para la creación de contenido digital. Por esta razón, en la dimensión 3, el 51,4 % de los encuestados está en un nivel medio y el 27,7 %, en un nivel bajo. Solo el 20,9 % está en un nivel alto. Estos resultados reflejan una baja confianza o habilidades limitadas en esta área, lo que sugiere la necesidad de mayor formación técnica en la creación de recursos audiovisuales.


Figura 4 Seguridad digital.

n12a03image006.png

Elaboración propia.


La figura 4 muestra valores altos (6-10) en Q12, lo que indica que una pequeña parte de los docentes domina el tema de seguridad digital. Por otro lado, existe un porcentaje con puntuaciones entre 1 y 5. Por esta razón, el 59,3 % de los encuestados está en el nivel medio y el 24,9 %, en el nivel bajo en cuanto a la capacidad para garantizar la seguridad digital de los datos personales al usar herramientas digitales en actividades pedagógicas. Solo el 15,8 % está en un nivel alto. Esto refleja que los docentes necesitan capacitación en seguridad digital, dada la importancia de la protección de datos personales en el entorno educativo.


Figura 5 Resolución de problemas.

n12a03image007.png

Elaboración propia.


Los elementos de la figura 5 muestran la capacidad para resolver problemas técnicos básicos relacionados con el uso de herramientas multimedia; las respuestas más frecuentes están en valores altos, entre 5 y 8, especialmente para las preguntas Q1, Q17 y Q18. Pese a ello, existe variación en Q2, con puntuaciones de 8-10, aunque no concentradas en un solo valor, lo que indica diferentes niveles de conocimiento. Por esta razón, en esta dimensión, el 53,1 % de los encuestados está en un nivel medio y el 25,4 %, en un nivel bajo. Solo el 21,5 % está en un nivel alto. Esto evidencia que un cierto porcentaje de los docentes tiene la capacidad de gestionar problemas técnicos básicos, lo cual es fundamental para el uso eficiente de herramientas digitales en la educación. Sin embargo, se debe dar capacitación al otro porcentaje de la muestra.


Resultados cualitativos



Tabla 4 Entrevista a la rectora de la Unidad Educativa Raymundo Aveiga

Pregunta Respuesta
¿Qué importancia considera que tienen las herramientas multimedia en el fortalecimiento de la educación actual? Son fundamentales para incrementar la calidad del proceso en el aula, al permitir metodologías innovadoras y adaptadas a los retos tecnológicos actuales.
¿De qué manera su institución está promoviendo el uso de herramientas digitales en el trabajo docente? Hemos implementado programas de capacitación tecnológica, acceso a plataformas educativas y fortalecimiento de la infraestructura tecnológica en las aulas.
¿Qué desafíos enfrenta la institución para integrar herramientas multimedia en la educación? Los principales retos son la falta de recursos tecnológicos adecuados, la escasez de conecti-vidad en algunas zonas, y la necesidad de mayor capacitación docente en el área digital.
¿Qué estrategias se están desarrollando para garantizar que los docentes adopten y aprovechen las nuevas tecnologías? Estamos promoviendo alianzas con empresas tecnológicas, organizando talleres de formación y estableciendo incentivos para la innovación pedagógica en el uso de tecnología.
¿Considera que existe un impacto positivo en el uso de herramientas multimedia para el desempeño de los docentes y estudiantes? El impacto es positivo, porque fomenta el aprendizaje interactivo y ayuda a los docentes a estar preparados para los desafíos actuales.

Elaboración propia.


La tabla 4 nos indica un enfoque institucional estratégico en la implementación de herramientas multimedia en la educación. La unidad educativa reconoce que la tecnología es importante para afrontar los retos educativos de la actualidad; se resalta la capacidad para implementar metodologías innovadoras y mejorar la calidad del aprendizaje. Las acciones emprendidas implican un compromiso de modernización de los procesos educativos, aunque existen desafíos importantes como la falta de recursos y conectividad.

A pesar de estos retos, la institución está implementando estrategias integrales para la adopción de estas herramientas digitales. El impacto positivo de esta evaluación en el desempeño de estudiantes y docentes fortalece la relevancia de estas iniciativas, lo que da como resultado que las herramientas multimedia son una inversión clave para lograr un sistema educativo adecuado y más adaptado a las demandas del siglo XXI.


Discusión


Los datos obtenidos permiten ver el panorama de la integración de herramientas digitales en las prácticas docentes. Según Mas, Peirats y Gabarda (2023) , las herramientas educativas se caracterizan por su flexibilidad y disponibilidad, lo que promueve la innovación pedagógica en entornos educativos. Sin embargo, en competencias digitales más avanzadas, como la edición y producción de recursos audiovisuales, solo un 51,4 % de los encuestados se encuentra en un nivel medio y el 27,7 % se posiciona en un nivel bajo, lo que indica la necesidad de fortalecer habilidades técnicas específicas a través de programas de formación continua y capacitación.

Por otro lado, el uso de plataformas digitales colaborativas presenta desafíos importantes. Según Kanobel, Galli y Chan (2023) , la baja adopción de estas herramientas -evidenciada por el hecho de que el 52,4 % de los participantes está en un nivel medio- podría estar asociada a limitaciones en infraestructura tecnológica o falta de capacitación. El pequeño porcentaje de docentes que se posicionan en el nivel alto (19,2 %) nos muestra que se necesita más interacción con herramientas digitales colaborativas.

Estos hallazgos coinciden con investigaciones previas. Según Mas, Peirats y Gabarda (2023) , la formación del docente en competencias digitales debe enfocarse en áreas críticas como la producción de contenidos audiovisuales y la cooperación en línea. Los autores resaltan la necesidad de que las instituciones implementen estrategias para cerrar las brechas existentes en la tecnología.

Asimismo, Kanobel, Galli y Chan (2023) indican que, en el caso de Argentina, los docentes aprovechan las competencias digitales para mejorar su enseñanza y sus habilidades, lo que subraya la importancia de una formación continua para garantizar el uso efectivo de las herramientas digitales en las aulas.

Los resultados obtenidos apuntan a la necesidad de un enfoque integral en el fortalecimiento de las competencias digitales con una infraestructura tecnológica apropiada. Esto permitiría superar las barreras existentes y fomentar un entorno educativo adecuado a las demandas del siglo XXI, para promover un aprendizaje más inclusivo, dinámico e interactivo (Mas, Peirats y Gabarda 2023).




Conclusiones


Los resultados obtenidos señalan una relación positiva en el uso de herramientas multimedia y el fortalecimiento de las competencias digitales de los docentes. Esto indica que, a pesar de que facilitan la práctica pedagógica, las herramientas tecnológicas también contribuyen al desarrollo de habilidades para la educación en la era digital.

Aunque los docentes tienen una percepción positiva en cuanto a sus habilidades digitales, los resultados evidencian que presentan falencias en áreas técnicas avanzadas como la edición, creación y producción de contenidos audiovisuales.

En síntesis, es necesario implementar estrategias institucionales que incluyan programas de capacitación permanente para los docentes, que haya acceso a recursos tecnológicos y que se pueda crear una cultura de innovación tecnológica. Esto ayudará a superar las limitaciones identificadas y a fomentar un entorno educativo inclusivo, creativo y adaptado a las demandas del siglo XXI.

Recomendación

Se sugiere implementar un programa de formación para docentes, enfocado en el uso de herramientas multimedia y plataformas colaborativas. La capacitación debe incluir talleres, herramientas de estudio y apoyo técnico constante para que los profesores desarrollen habilidades técnicas. También se debe contar con los siguientes recursos: aulas equipadas con computadoras y acceso a internet; software y herramientas como Canva, Genially, Powtoon, Kahoot! y Padlet; y guías y videos tutoriales.

Se evaluará a los docentes de esta capacitación mediante su participación activa en las sesiones sincrónicas y foros virtuales, el cumplimiento de actividades autónomas y el uso efectivo de al menos tres herramientas multimedia.

Igualmente, es esencial fomentar una cultura institucional de innovación educativa que incentive la incorporación estratégica de estas herramientas multimedia, para promover la competencia digital de los docentes y conseguir un aprendizaje más inclusivo y efectivo en el aula.




NOTAS


[6] Emilio Jhon Díaz Espinel participó en la conceptualización, curación de datos, análisis formal, adquisición de fondos, investigación y redacción del borrador. Mauro Hernán Ocaña Garzón contribuyó con los recursos, el software, la supervisión, validación y visualización. Karina Luzdelia Mendoza Bravo estuvo a cargo de la metodología y administración del proyecto.


Referencias


Alarfaj, Abdulhamid, y Mesfer Alrashidi. 2025. "Revolutionizing Gifted Education: Enhancing Teachers' Digital Competence through Fourth Industrial Revolution Training". Discover Sustainability 6. https://doi.org/10.1007/s43621-025-00946-y.

Aparicio, Oscar, Olga Ostos y Otto von Feigenblatt. 2023. "Competencia digital y desarrollo humano en la era de la inteligencia artificial". Hallazgos 20 (40): 217-35. https://tinyurl.com/4s8cwump.

Bermudez, Olivia, y Marcos Pazmiño. 2022. "Herramientas multimedia y destrezas de aprendizaje en la Unidad Educativa 'Manuel Inocencio Parrales y Guale"'. Revista Científica Multidisciplinaria Arbitrada Yachasun 6 (11): 91-103. https://tinyurl.com/22ty3urz.

Cusme, Lorena. 2023. "La tecnología educativa y su impacto en la educación inicial". FIPCAEC 8 (2): 531-45. https://tinyurl.com/yc3betmh.

EC Ministerio de Educación. 2020. Informe de rendición de cuentas. Coordinación Zonal 4, Distrito 13D07. Enero-diciembre 2019. Quito: Ministerio de Educación. https://tinyurl.com/yj9jpsv5.

EC Ministerio de Telecomunicaciones y de la Sociedad de la Información. 2022. Política para la transformación digital del Ecuador 2022-2025. Quito: Ministerio de Telecomunicaciones y de la Sociedad de la Información. https://tinyurl.com/4htzzfhd.

ES INTEF. 2022. Marco de Referencia de la Competencia Digital Docente. Madrid: INTEF. https://tinyurl.com/2r2c2p75.

Fernández, Silvia. 2021. "La importancia de las competencias digitales en el acceso al empleo". Cielo Laboral. https://tinyurl.com/24rw27ba.

Hernández Sampieri, Roberto, Carlos Fernández y Pilar Baptista. 2023. Metodología de la investigación. Ciudad de México: McGraw-Hill.

Jurado, Elizabeth. 2022. "Educaplay: Un recurso educativo de valor para favorecer el aprendizaje en la educación superior". Revista Cubana de Educación Superior 41 (2). https://tinyurl.com/2vfjb9jj.

Kanobel, María Cristina, María Gabriela Galli y Débora Chan. 2023. "Competencias digitales docentes en el nivel de educación superior en Argentina". Cuadernos de Investigación Educativa 14 (2). https://tinyurl.com/2spf2j5s.

Lozano, Edwin, Celia Amores y Carmen Olmedo. 2021. "Competencias digitales docentes en el proceso de enseñanza-aprendizaje en tiempos de COVID-19". Revista Cátedra 1 (17). https://tinyurl.com/4m295ahy.

Mas, Verónica, José Peirats y Vicente Gabarda. 2023. "Competencia digital en la formación permanente del profesorado: Análisis comparativo entre la Comunidad Valenciana y Galicia". Revista Española de Educación Comparada 44: 305-23. https://tinyurl.com/3v5xt4wr.

Montalvo, Viviana, Mirella Villena y Galia Franco. 2022. "Competencias digitales en docentes del Perú". Revista de Investigación Científica y Tecnológica Alpha Centauri 3 (2): 14-21. https://tinyurl.com/mr2e75ew.

Navarro, Armando. 2023. "Impacto de la implementación de contenido multimedia como estrategia para la creación de cursos digitales inclusivos". Ñawi. Arte Diseño Comunicación 7 (1). https://tin-yurl.com/4tbrdvp9.

Pérez, Ángel, Víctor López, D. Hortigüela, Raúl Barba, José Luis Álvarez y Carlos Gutiérrez. 2024. "La evaluación triádica y los instrumentos de evaluación en educación física". En Evaluación formativa y compartida en Educación física: Fundamentos y experiencias prácticas en todas las etapas educativas, editado por Ángel Pérez, D. Hortigüela , Carlos Gutiérrez yRaúl Barba , 75-96. León, ES: Universidad de León. https://tinyurl.com/3r6bw52x.

Salazar, Diego, Jared González, Luciano Vázquez, Ricardo Inguanzo y Oscar Castruita. 2024. "Tecnología en la educación: Impacto de las herramientas multimedia en la planeación de la educación física". Latam. Revista Latinoamericana de Ciencias Sociales y Humanidades 5 (5). https://tinyurl.com/55jjuewp.

UNESCO. 2024. "Qué necesita saber acerca del aprendizaje digital y la transformación de la educación". UNESCO. 6 de febrero. https://tinyurl.com/y43f5vtu.