https://doi.org/10.32719/26312816.2020.3.1.9
a Pontificia Universidad Católica del Ecuador. Av. 12 de Octubre 1076 y Roca. Quito, Ecuador.
* Autor principal: Felipe Chiliquinga-Campos. Pontificia Universidad
Católica del Ecuador. Av. 12 de Octubre 1076 y Roca. Quito, Ecuador.
Correos electrónicos: mechas.5@hotmail.com (F.
Chiliquinga-Campos), jaballadares@puce.edu.ec (J.
Balladares-Burgos).
PUNTOS DESTACADOS
INFORMACIÓN DEL ARTICULO
Historial del articulo
Recibido el 27 de febrero de 2020 - Aceptado el 10 de abril de 2020 - Publicado el 28 de abril de 2020
RESUMEN
Esta investigación tiene como objetivo determinar la frecuencia de uso de las rutinas de pensamiento en el proceso de enseñanza-aprendizaje de la Matemática por parte de los docentes del tercer año de Bachillerato General Unificado de la Unidad Educativa Fiscal Arturo Borja en el año lectivo 2018-2019. El presente estudio proyectivo exhibe un enfoque cuantitativo de diseño no experimental de tipo descriptivo, apoyado en las técnicas de la encuesta y el análisis de contenido, lo cual permitió reflexionar sobre el uso de esta didáctica. Los resultados obtenidos en esta indagación, producto de un riguroso análisis estadístico y bibliográfico, permitieron evidenciar que los docentes utilizan las rutinas de pensamiento en porcentajes bajos y de una manera empírica, desconocen el nombre técnico, los tipos de pensamiento y los caminos metodológicos que estos procedimientos didácticos involucran, así como también el posible aporte que pueden brindar estas prácticas de construcción de pensamiento a los lineamientos pragmáticos constructivistas dispuestos en el vigente currículo de Matemática del Ecuador.
Palabras clave: Constructivismo, Matemática, Innovación, Metodología, Rutinas de pensamiento
1. Introducción
La enseñanza de la Matemática presenta una dificultad bidireccional para el docente y para los estudiantes, ya sea por el contenido de la asignatura o por las metodologías empleadas para su tratamiento. A la luz de los postulados de Naranjo, Pérez y Sánchez (2017), el diagnóstico realizado a los docentes de la carrera de educación básica en el Ecuador, reveló que existen: insuficiencias en los conocimientos de los docentes para enseñar a comprender el texto de problemas matemáticos y una prevalencia de métodos y procedimientos didácticos tradicionalistas. Según el Instituto Nacional de Evaluación —INEVAL— (2018a), hay un setenta por ciento de estudiantes de bachillerato que no alcanzan el nivel básico de habilidades matemáticas, motivo por el cual es una necesidad fundamental implementar metodologías novedosas que transformen la enseñanza de esta asignatura.
De acuerdo con Nazaret Global Education (2014), el pensamiento crítico y creativo es una estrategia que transforma los escenarios de estudios en aulas inteligentes. Además, permite visualizar las habilidades de pensamiento integradas en el aprendizaje de contenidos, proyectando al educando a convertirse en un buen pensador que reflexione sobre lo aprendido. Según Romero y Pulido (2015), las rutinas de pensamiento son prácticas fáciles y sencillas para lograr fines específicos tales como: explorar, sintetizar, organizar y profundizar ideas de una manera eficiente y viable.
Bajo el marco referencial de Romero y Pulido (2015), Puga y Jaramillo (2015), Villarruel (2011) y Carbonell (2002), el presente artículo propone las rutinas de pensamiento como un proceso innovador en la enseñanza de la Matemática. Este estudio se encuentra divido en tres apartados. Primero, se parte de una fundamentación teórica sobre las rutinas de pensamiento como una innovación metodológica, necesaria en la enseñanza de la Matemática, en la formación y especialización de docentes de esta asignatura en la educación contemporánea (Araya, 2014; Morales, Fonseca & García, 2014).
Segundo, se realiza un análisis referente al constructivismo con respecto a las rutinas de pensamiento, partiendo de las premisas de Hylslop–Margison y Stroebel (2008), Brunning, Schaw, Norby y Ronning (2004) y Serrano y Pons (2011), sustentando este análisis en las bases científicas y teóricas del constructivismo según Piaget (1955) y el aprendizaje significativo propuesto por Ausubel bajo el marco interpretativo y referencial de Lamata y Domínguez (Ortiz, 2015).
Tercero, con base en los resultados estadísticos encontrados en este proceso de investigación, se determinaron los tipos de rutinas de pensamiento que usa el docente y se analizaron de forma cuantitativa estas modalidades metodológicas. Corolarios con los cuales se propone una ejemplificación de esta metodología en la enseñanza de la Matemática, enfatizando la construcción del conocimiento y la visibilización del pensamiento, proceso investigativo que giró en torno a la interrogante ¿Cómo utilizan los docentes las rutinas de pensamiento en el proceso de enseñanza-aprendizaje de la Matemática en el Tercer Año de Bachillerato de la Unidad Educativa Fiscal Arturo Borja?
1.1 Las rutinas de pensamiento como innovación metodológica necesaria en la enseñanza de la Matemática
La educación y la enseñanza es un proceso que ha evolucionado a través del tiempo mostrando en cada estadio facetas que varían en función del estudiante, docente y disciplina de estudios. Puga y Jaramillo (2015), citando a Anacona (2003), en su investigación Metodología activa en la construcción del conocimiento matemático, sostienen que en la enseñanza de la Matemática existen conceptos, aspectos o métodos que pueden incidir de manera directa e indirecta en el proceso reflexivo de la enseñanza-aprendizaje de esta asignatura. En este sentido, las estrategias didácticas, al ser una forma directa de intervención, pueden incidir directamente en las propuestas educativas.
Por otra parte, Villarruel (2011), citando a Carbonell (2002), afirma que “la innovación es una serie de intervenciones, decisiones y procesos, con cierto grado de intencionalidad y sistematización, que trata de modificar actitudes, ideas, culturas, contenidos, modelos y prácticas pedagógicas” (p.12). Además, Carbonell (2002) expresa que dentro de este proceso se incorporan nuevos modelos didácticos y nuevas estrategias de enseñanza-aprendizaje. En consonancia con el análisis planteado, las rutinas de pensamiento son una metodología innovadora necesaria que puede incidir de forma directa en la enseñanza de la Matemática.
Araya (2014), manifiesta que, si los procesos que involucran las habilidades del pensamiento son potenciados, el educando adquiere conocimientos y habilidades cada vez más complejos, permitiéndole así tener conciencia de cómo aprende, concluyendo que: “es necesario establecer en el aprendizaje de la Matemática, un programa gradual para potenciar las habilidades de pensamiento por nivel escolar, respetando la madurez y el nivel cognitivo de los educandos” (p. 1).
Como efecto eslabón, las rutinas de pensamiento, al ser una necesidad en la enseñanza de la Matemática, se convierten también en un requisito en la formación de profesionales de esta disciplina, sustentado en el marco referencial de Morales, Fonseca y García (2014), quienes en su investigación titulada En búsqueda de un perfil académico profesional del personal docente de Matemáticas, manifiestan que el docente de esta asignatura debe presentar un perfil académico profesional con competencias genéricas que le permitan desarrollar habilidades de trabajo en equipo, colaborativo y cooperativo para la construcción del conocimiento disciplinar, transdisciplinar e interdisciplinar.
De la misma forma el docente de Matemática debe contar en su perfil profesional con competencias específicas de esta asignatura, que le permita formular problemas en lenguaje matemático; y, así, fortalecer estructuras de pensamiento en el estudiante, para construir e interpretar modelos matemáticos a partir de situaciones reales para reconocer la importancia de la Matemática en la vida cotidiana.
Una tercera competencia esencial que manifiestan Morales, Fonseca y García (2014), dentro del perfil son las competencias didáctico-matemáticas, las cuales mediarán pedagógicamente el contenido en pos del mejoramiento de los procesos de aprendizaje en diferentes ambientes educativos. Conjuntamente, facilitarán al docente analizar las diversas corrientes de pensamiento en la educación de la Matemática proporcionando elementos teóricos y metodológicos para ser incorporados en las prácticas educativas, de la misma manera propiciarán la inserción de diferentes estrategias de enseñanza-aprendizaje con la finalidad de potenciar la mediación pedagógica de los contenidos matemáticos para valorar su uso en la cotidianidad.
Por último, Morales, Fonseca y García (2014) proponen dentro del perfil académico profesional del docente de Matemática las competencias pedagógicas, las cuales permitirán el diseño, la selección y la aplicación de estrategias de enseñanza-aprendizaje que promuevan la autorregulación, la metacognición y la creatividad en diferentes espacios educativos para la comprensión óptima del contenido disciplinar.
Ante lo expuesto se puede concluir que las rutinas de pensamiento son una innovación inexcusable en la enseñanza de Matemática, como también una necesidad en la formación y especialización de docentes de esta área; y, por consiguiente, un menester de la educación contemporánea puesto que, a través de la aplicación de esta metodología, se desarrollará el pensamiento crítico y creativo transformando los procedimientos tradicionales de la enseñanza de Matemática en los escenarios de estudio.
1.2. El constructivismo y las rutinas de pensamiento
Las rutinas de pensamiento, según Romero y Pulido (2015), son prácticas sencillas para lograr fines específicos de una manera eficiente y viable, las cuales evolucionan con el uso convirtiéndose en constructores de cultura. Diseñadas no para provocar respuestas específicas, sino para el fortalecimiento de habilidades del pensamiento, facilitando el desarrollo de los hábitos de la mente. Por implicación, promueven el aprendizaje basado en experiencias previas, permitiendo así desarrollar la curiosidad, la exploración, comprobación y el cuestionamiento de problemáticas propuestas, con el propósito de visibilizar el pensamiento de las personas, causando a través de su continuo uso una cultura de análisis, reflexión, aplicación y creación.
Bajo el marco referencial de Hylslop–Margison y Stroebel (2008), el constructivismo no es una teoría sino más bien una epistemología o explicación filosófica referente a la naturaleza del aprendizaje. En conexión con lo descrito, Brunning et al. (2004) afirman que las personas forman o construyen gran parte de lo que aprenden. De acuerdo con esto, el constructivismo, por sus concepciones epistemológicas, puede facultar, validar y proponer soluciones al aprendizaje en los escenarios de estudio.
Para Serrano y Pons (2011), el aprendizaje es un proceso interno que consiste en relacionar la nueva información con las representaciones preexistentes, lo que da lugar a la revisión, modificación, reorganización y diferenciación de esas representaciones. En relación con estas premisas, este proceso investigativo se fundamenta teóricamente en el constructivismo piagetano que plantea lo siguiente:
“Las personas no entienden, ni utilizan de manera inmediata la
información que se les proporciona. En cambio, el individuo siente
la necesidad de “construir” su propio conocimiento. El conocimiento
se construye a través de la experiencia. La experiencia conduce a
la creación de esquemas. Los esquemas son modelos mentales que
almacenamos en nuestras mentes. Estos esquemas van cambiando,
agrandándose y volviéndose más sofisticados a través de dos
procesos complementarios: la asimilación y el alojamiento…”
(Piaget, 1955, p. 15)
Otra base científica alineada al constructivismo que fundamenta esta investigación es la teoría del aprendizaje significativo de Ausubel, que según Lamata y Domínguez (Ortiz, 2015) interpreta que la relación de las nuevas ideas del sujeto con las que ya tenía en su estructura cognitiva surge de un proceso de combinación significativo, único y personal de los aspectos esenciales, a saber: lógico, cognitivo y afectivo.
| ASPECTO | IMPLICACIÓN |
| Lógico | El material a aprender debe favorecer al aprendizaje |
| Cognitivo | Desarrollar habilidades de pensamiento y procesamiento de información |
| Afectivo | Desarrollar habilidades de pensamiento y procesamiento de información |
| Fuente: El constructivismo como teoría y método de enseñanza (Ortiz, 2015). Elaboración: Propia. |
|
Con respecto al rol del docente en función de los componentes metodología, técnicas, recursos y evaluación, Ortiz (2015), en su artículo El constructivismo como teoría y método de enseñanza, sugiere un conjunto de orientaciones generales para desarrollar dicho proceso.
Ante lo expuesto, se puede evidenciar que las rutinas de pensamiento son un proceso de construcción innovador puesto que en su ejecución se desarrollan habilidades de reflexión y procesamiento de información. Adicionalmente, consideran los aprendizajes previos, favorecen el diálogo desequilibrante y la implicación activa de los estudiantes. De acuerdo con Villarruel (2011), las propuestas educativas innovadoras, que propicien cambios, han llevado a considerar al constructivismo como la alternativa teórico-metodológica más prometedora.
Fig. 1. El constructivismo como teoría y método de enseñanza
Fuente: El constructivismo como teoría y método de enseñanza (Ortiz, 2015).
Elaboración: Propia.
1.3. Tipos de rutinas de pensamiento
Morales y Restrepo (2015) basados en la frase de Perkins: “La gente es indiferente ante situaciones que invitan a pensar”, manifiestan que hacer visible el pensamiento es una tarea fundamental de la escuela, puesto que de esa manera se podrá tener en cuenta las comprensiones preliminares y posteriores de los educandos.
De acuerdo con en Morales y Restrepo (2015), para la visibilización del pensamiento, las rutinas de pensamiento pueden clasificarse en rutinas para introducir y explorar, para sintetizar y organizar, y para profundizar ideas.
A continuación, a partir de la interpretación teórica de Romero y Pulido (2015), Arévalo, Pardo y Quiazua (2014) y Ritchhart, Church y Morrison (2014), se presenta una descripción de cada modalidad de rutinas de pensamiento, así como también de los procesos didácticos que intervienen en los apartados de discusiones y conclusiones.
1.3.1. Rutinas de pensamiento, para introducir y explorar ideas
Según Romero y Pulido (2015), las rutinas de pensamiento de esta categoría involucran tipos de reflexión tales como: describir, inferir, interpretar, cuestionar, preguntar, extraer conexiones y activar conocimientos previos.
Este estudio sostiene que See-Think-Wonder —Ver- Pensar-Preguntarse— es una rutina de pensamiento para introducir y explorar ideas, la cual permite al estudiante de manera específica describir, interpretar y preguntar. Este procedimiento didáctico es ideal en situaciones que impliquen estímulos visuales complejos, donde el docente formulará a los estudiantes las interrogantes: ¿qué veo?, ¿qué pienso? y ¿qué me pregunto?, referentes a la problemática propuesta (Romero y Pulido, 2015).
De manera análoga, esta investigación afirma que 3-2- 1, Bridge —3-2-1, Puente— es una rutina de pensamiento adecuada para activar conocimientos previos mediante conexiones conceptuales o gráficas. Esta práctica permite al educando cuestionar y preguntar, con la finalidad de que dichos cuestionamientos sean visualizados al final de la clase (Romero y Pulido, 2015).
1.3.2. Rutinas de pensamiento para sintetizar y organizar ideas
De acuerdo con Romero y Pulido (2015), las rutinas de pensamiento para sintetizar y organizar ideas comprenden tipos de pensamiento tales como resumir, capturar la esencia, retomar y organizar conocimientos previos para determinar conexiones, establecer nuevas ideas, generar preguntas e identificar conceptos claves.
Según Arévalo, Pardo y Quiazua (2014), I used to think… now I think… —Yo solía pensar… ahora pienso que...— es una rutina de pensamiento que consiste en sintetizar y organizar ideas a través del pensamiento inferencial facultando la comparación, el análisis, la estimación, la generalización y la solución de problemas. Este desarrollo didáctico parte de la reflexión Yo solía pensar… ahora pienso que... La abstracción propuesta por el docente hacia los educandos es ideal para procesar la información, expresar o descomponer un todo en sus partes, vincular la condición que genera otros hechos e identificar alternativas viables para resolver una dificultad.
Romero y Pulido (2015) afirman que Headlines — Titulares—, es una rutina de pensamiento que permite simplificar y capturar la esencia de ideas grandes o aspectos destacables, a través de resúmenes rápidos mediante la síntesis y la organización del tema tratado. Otro constructor de pensamiento para sintetizar y organizar ideas es el procedimiento conocido como Generate-Sort-Connect- Elaborate—Generar-Organizar-Conectar-Elaborar—. A la luz de las interpretaciones teóricas de Arévalo, Pardo y Quiazua (2014), esta rutina es ideal para consolidar el nuevo aprendizaje a través de un mapa conceptual que organice y refleje el pensamiento, permitiendo al estudiante retomar y organizar conocimientos previos.
1.3.3. Rutinas de pensamiento para profundizar ideas
Bajo el marco interpretativo de Romero y Pulido (2015), las rutinas de pensamiento para profundizar ideas comprenden tipos de pensamiento tales como razonar y argumentar con base en evidencias, considerar diversos puntos de vista, monitorear, identificar sesgos, generar preguntas, reconocer complejidades, resumir y destilar — extraer la esencia—.
Según Ritchhart, Church y Morrison (2014) la rutina Red light, yellow light —Luz roja, luz amarilla— involucra tipos de pensamiento que permiten argumentar ideas e identificar errores en las argumentaciones, asignando un código de colores a los enunciados: amarillo cuando son expresiones, frases, fórmulas, no muy claras; y rojo cuando son enunciados falsos.
Desde la posición de Romero y Pulido (2015), la rutina Claim-Support-Question —Afirmar-Sustentar-Cuestionar— es un procedimiento que ayuda a profundizar ideas y es considerado como una estructura básica para el pensamiento matemático o científico. Esta práctica, parte de situaciones orales y escritas que permiten al estudiante: afirmar, sustentar, cuestionar mediante la identificación de generalizaciones, determinar contra argumentos, razonar y argumentar con base en evidencias.
2. Metodología
El presente artículo surge de un proceso de investigación proyectivo realizado con los estudiantes de tercer año de Bachillerato General Unificado de la Unidad Educativa Fiscal Arturo Borja de la ciudad de Quito en el año lectivo 2018-2019. Para ello se planteó un enfoque cuantitativo, debido a que se utilizó la recolección y análisis de datos para contestar preguntas de investigación (Hernández, Fernández & Batista, 2006).
En este estudio se utilizó el diseño no experimental, puesto que, a partir del problema planteado, de acuerdo con McMillan y Schumacher (2005), se realizó un estudio en el cual no hubo manipulación directa del investigador con las variables. Bajo este marco interpretativo, este diseño es de función investigativa aplicada dado que generó una propuesta.
Basado en el marco referencial de Casanova (1998), citado por Hamodi y López (2017), para la recolección y análisis de datos se utilizó la técnica de encuesta y como instrumento el cuestionario, y después de ser validado por dos especialistas en educación con formación de cuarto nivel, y tras incorporar los cambios sugeridos, fue sometido a una prueba piloto de aplicación que sirvió para establecer el nivel de confiabilidad, apoyado teóricamente en los principios propuestos por Hernández, Fernández y Batista (2006).
Este instrumento fue dirigido a cincuenta y ocho estudiantes den el periodo lectivo 2018-2019. De este proceso se obtuvo información valiosa referente al uso de rutinas de pensamiento en la enseñanza de Matemática, datos que fueron tabulados y procesados en hojas de cálculo de Excel; y, finalmente, fueron analizados e interpretados.
De manera complementaria, con los resultados obtenidos, y para poder establecer conclusiones, se utilizó la técnica de análisis de contenido que, de acuerdo con los lineamientos de Feo (2010), nos permite reflexionar sobre el tema y a la vez elaborar las orientaciones teóricas necesarias, para de esta forma construir el andamiaje conceptual requerido en este estudio investigativo.
3. Resultados
Para obtener las respuestas cualitativas de los estudiantes se determinó una escala cinco valores. 1: Nunca, 2: Casi nunca, 3: Algunas veces, 4: Casi siempre, y 5: Siempre; obteniendo los resultados que se muestran en las siguientes tablas.
3.1. Modalidades de rutinas de pensamiento para introducir ideas exploratorias
| MODALIDADES DE RUTINAS DE PENSAMIENTO PARA INTRODUCIR Y EXPLORAR IDEAS | 1 | 2 | 3 | 4 | 5 | TOTAL |
| A. Al iniciar una nueva temática en la que se presenten gráficos complejos o ambiguos, el docente formula a los estudiantes las siguientes interrogantes: ¿qué veo?, ¿qué pienso? y ¿qué me pregunto? | 3 | 27 | 12 | 7 | 9 | 58 |
| B. Al iniciar una clase nueva el docente formula interrogantes individuales o grupales tales como: ¿qué pienso?, ¿qué puedo cuestionar?, ¿qué puedo explorar?, con la finalidad de visualizar niveles de comprensión y posibles errores conceptuales. | 3 | 14 | 27 | 10 | 4 | 58 |
| C. Al iniciar una nueva clase el docente activa conocimientos previos, mediante conexiones conceptuales o gráficas, que le permitan al estudiante cuestionarse, separar conocimientos y plantear analogías, con la finalidad de que dichos cuestionamientos sean visualizados al final de la clase. | 1 | 2 | 12 | 16 | 27 | 58 |
| Fuente: Instrumento de Diagnóstico (2019). Elaboración: Propia. |
||||||
Para cada una de las modalidades de rutinas de pensamiento, los porcentajes fueron obtenidos mediante el cálculo de una proporción directa, considerando los siguientes aspectos:
Con respecto a estas especificaciones se ejecutó el siguiente algoritmo matemático, en el cual variaron únicamente las estimaciones numéricas obtenidas en cada procedimiento metodológico de acuerdo con su uso:

A continuación, se presenta un diagrama con el porcentaje de uso de los procesos según la estimación de los estudiantes.

Fig. 2. Uso de la modalidad de rutinas de pensamiento para introducir y explorar ideas.
Fuente: Instrumento de Diagnóstico (2019).
Elaboración: Propia.
En la modalidad de rutinas de pensamiento para introducir y explorar ideas, con base en los resultados, se puede interpretar, por una parte, que el procedimiento didáctico que casi nunca utiliza el docente son las formulaciones de las interrogantes: ¿qué veo?, ¿qué pienso? y ¿qué me pregunto?, cuestionamientos específicos que, de acuerdo con Romero y Pulido (2015), componen la rutina de pensamiento conocida como Ver-Pensar-Preguntarse.
Por otra parte, se puede justificar cuantitativamente que el docente, al iniciar la clase, siempre activa los conocimientos previos mediante vínculos conceptuales o gráficos, que le permiten al estudiantado deliberar, separar conocimientos y plantear analogías. Caminos didácticos técnicos que, de acuerdo con Romero y Pulido (2015), pertenecen a la rutina de pensamiento conocida como 3-2-1, Puente.
3.2. Modalidades de rutinas de pensamiento para sintetizar y organizar ideas
| MODALIDADES DE RUTINAS DE PENSAMIENTO PARA SINTETIZAR Y ORGANIZAR IDEAS | 1 | 2 | 3 | 4 | 5 | TOTAL |
| A. Después de dar tratamiento a cuestiones temáticas grandes, el docente propone resúmenes rápidos, con el fin de capturar la esencia, sintetizar y organizar ideas relevantes del tema tratado. | 0 | 4 | 14 | 27 | 13 | 58 |
| B. Para sintetizar la información, el docente extrae la esencia de las ideas de una forma no verbal, mediante la utilización de colores, imágenes y codificaciones. | 2 | 17 | 23 | 10 | 6 | 58 |
| C. El docente consolida el nuevo aprendizaje, mediante la reflexión de ¿cómo ha ido evolucionado el pensamiento de los estudiantes en el periodo de desarrollo de las temáticas propuestas? Con la finalidad de ampliar la metacognición mediante formulaciones tales como: Yo solía pensar… Ahora pienso que… | 7 | 18 | 20 | 9 | 4 | 58 |
| D. El docente consolida el nuevo aprendizaje a través de un mapa conceptual que organice y refleje el pensamiento. | 1 | 2 | 12 | 16 | 27 | 58 |
| Fuente: Instrumento de Diagnóstico (2019). Elaboración: Propia. |
||||||
A continuación, se presenta un diagrama de columnas en el cual se visualiza el porcentaje de uso de los procesos en esta modalidad metodológica en la enseñanza de Matemática de acuerdo con la estimación de los estudiantes de tercer año del Bachillerato General Unificado de la Unidad Educativa Fiscal Arturo Borja de la ciudad de Quito, en el año lectivo 2018-2019.

Fig. 3. Uso de la modalidad de rutinas de pensamiento para sintetizar y organizar ideas.
Fuente: Instrumento de Diagnóstico (2019).
Elaboración: Propia.
En la modalidad de rutinas de pensamiento para sintetizar y organizar ideas, con base en las deducciones numéricas se puede interpretar que el profesor de Matemática casi nunca utiliza la reflexión —Yo solía pensar… Ahora pienso que...— con la finalidad de consolidar y autorregular el aprendizaje de las problemáticas conceptuales y procedimentales tratadas. Cabe mencionar que dicha formulación según Arévalo, Pardo y Quiazua (2014) es la base reflexiva de la rutina de pensamiento de nombre técnico: Yo solía pensar... Ahora pienso que...
Por contraste, después de dar tratamiento a cuestiones temáticas grandes, que involucran una gran cantidad de conceptos, el docente casi siempre propone resúmenes rápidos, con el fin de capturar la esencia, sintetizar y organizar las ideas relevantes del tema tratado. Procedimientos que, bajo el marco interpretativo de Romero y Pulido (2015), cimientan teóricamente a la rutina de pensamiento conocida como: Titulares.
De forma similar, es posible interpretar que el docente de la asignatura de Matemática siempre consolida el nuevo aprendizaje a través de un mapa conceptual que organice y refleje el pensamiento. Este tipo de didáctica, bajo la exégesis teórica de Arévalo, Pardo y Quiazua (2014), se puede considerar como una rutina de pensamiento técnicamente conocida como Generar- Organizar-Conectar-Elaborar que se emplea para sintetizar y organizar ideas.
3.3. Modalidades de rutinas de pensamiento para profundizar ideas
| MODALIDADES DE RUTINAS DE PENSAMIENTO PARA PROFUNDIZAR IDEAS | 1 | 2 | 3 | 4 | 5 | TOTAL |
| A. El docente profundiza la temática en desarrollo mediante la interrogante ¿qué te hace decir eso?, con la finalidad de que el estudiante razone y argumente sus afirmaciones con base en evidencias. | 4 | 5 | 22 | 9 | 8 | 58 |
| B. Para profundizar ideas, el docente utiliza códigos de colores para generar preguntas, identificar posibles errores en la argumentación o posibles sesgos en las posturas de un autor. | 7 | 20 | 21 | 9 | 1 | 58 |
| C. Para profundizar ideas, el docente propone situaciones orales y escritas que permitan: afirmar, sustentar, y cuestionar mediante la identificación de generalizaciones, el razonamiento y la argumentación con base en evidencias y la determinación de contra-argumentos. | 1 | 12 | 30 | 11 | 4 | 58 |
| Fuente: Instrumento de Diagnóstico (2019). Elaboración: Propia. |
||||||
Cimentado en estos hallazgos, a continuación, se presenta un diagrama de columnas en el cual se visualiza el porcentaje de uso de los procesos en esta modalidad metodológica en la enseñanza de Matemática con los estudiantes, con la finalidad de profundizar ideas.

Fig. 4. Uso de la modalidad de rutinas de pensamiento para profundizar
ideas.
Fuente: Instrumento de Diagnóstico (2019).
Elaboración: Propia.
Para profundizar ideas, en la enseñanza-aprendizaje de la Matemática el docente casi nunca utiliza códigos de colores para generar preguntas e identificar posibles errores en la argumentación. Lineamientos que, de acuerdo con Ritchhart, Church y Morrison (2014), fundamentan el proceso didáctico de la rutina de pensamiento Luz roja, luz amarilla, de lo cual se puede interpretar que el profesor desconoce los sustentos teóricos y técnicos para ejecutar esta metodología.
Por otro lado, en esta modalidad no existen resultados determinantes que expresen un uso frecuente de las estrategias, lo que sí se indica mayoritariamente es que el profesor, en términos de profundizar ideas, algunas veces propone situaciones orales y escritas que permiten: afirmar, sustentar, cuestionar mediante la identificación de generalizaciones, determinar contra-argumentos, razonar y argumentar con base en evidencias. Bajo el marco interpretativo de Romero y Pulido (20015), los procedimientos mencionados sustentan metodológicamente a la rutina de pensamiento conocida como Afirmar-Sustentar-Cuestionar.
3.4 Interpretación general de los resultados de uso de las rutinas de pensamiento
Las siguientes matrices —Tablas 5 y 6— detallan los resultados generales obtenidos en este proceso de investigación:
| PARA INTRODUCIR Y EXPLORAR IDEAS | RESULTADO | OBSERVACIÓN | NOMBRE TÉCNICO DEL PROCEDIMIENTO |
| Al iniciar una nueva temática en la que se presenten gráficos complejos o ambiguos, el docente formula a los estudiantes las siguientes interrogantes: ¿qué veo? ¿qué pienso? y ¿qué me pregunto? | Casi nunca 46.55% | 27 estudiantes de 58 expresaron que el docente casi nunca ejecuta este procedimiento. | Rutina de pensamiento Ver- Pensar-Preguntarse. |
| PARA SINTETIZAR Y ORGANIZAR IDEAS | RESULTADO | OBSERVACIÓN | NOMBRE TÉCNICO DEL PROCEDIMIENTO |
| El docente consolida el nuevo aprendizaje, mediante la reflexión de ¿cómo ha ido evolucionado el pensamiento de los estudiantes en el periodo de desarrollo de las temáticas propuestas? Con la finalidad de ampliar la metacognición mediante formulaciones tales como: Yo solía pensar…. Ahora pienso que… | Casi nunca 31.03% | 18 estudiantes de 58 expresaron que el docente casi nunca ejecuta este procedimiento. | Rutina de pensamiento Yo solía pensar..., Ahora pienso que... |
| PARA PROFUNDIZAR IDEAS | RESULTADO | OBSERVACIÓN | NOMBRE TÉCNICO DEL PROCEDIMIENTO |
| Para profundizar ideas, el docente utiliza códigos de colores para generar preguntas, identificar posibles errores en la argumentación, o posibles sesgos en las posturas de un autor. | Casi nunca 34.48% | 20 estudiantes de 58 expresaron que el docente casi nunca ejecuta este procedimiento. | Rutina de pensamiento Luz roja, luz amarilla. |
| Fuente: Instrumento de Diagnóstico (2019). Elaboración: Propia. |
| PARA INTRODUCIR Y EXPLORAR IDEAS | RESULTADO | OBSERVACIÓN | NOMBRE TÉCNICO DEL PROCEDIMIENTO |
| Al iniciar una nueva clase el docente activa conocimientos previos, mediante conexiones conceptuales o gráficas, que le permitan al estudiante cuestionarse, separar conocimientos y plantear analogías, con la finalidad de que dichos cuestionamientos sean visualizados al final de la clase.? | Siempre 46,55% | 27 estudiantes de 58 expresaron que el docente casi siempre ejecuta este procedimiento | Rutina de pensamiento 3-2-1 Puente. |
| PARA SINTETIZAR Y ORGANIZAR IDEAS | RESULTADO | OBSERVACIÓN | NOMBRE TÉCNICO DEL PROCEDIMIENTO |
| Después de dar tratamiento a cuestiones temáticas grandes, el docente propone resúmenes rápidos, con el fin de capturar la esencia, sintetizar y organizar ideas relevantes del tema tratado. | 46.55% | 27 estudiantes de 58 expresaron que el docente casi siempre ejecuta este procedimiento. | Rutina de pensamiento: Titulares. |
| PARA PROFUNDIZAR IDEAS | RESULTADO | OBSERVACIÓN | NOMBRE TÉCNICO DEL PROCEDIMIENTO |
| El docente consolida el nuevo aprendizaje a través de un mapa conceptual que organice y refleje el pensamiento. | Siempre 46.55% | 27 estudiantes de 58 expresaron que el docente siempre ejecuta este procedimiento. | Rutina de pensamiento técnicamente conocida como: Generar-Organizar-Conectar- Elaborar. |
| PARA PROFUNDIZAR IDEAS | RESULTADO | OBSERVACIÓN | NOMBRE TÉCNICO DEL PROCEDIMIENTO |
| Para profundizar ideas, el docente propone situaciones orales y escritas que permitan: afirmar, sustentar, y cuestionar mediante la identificación de generalizaciones, el razonamiento y la argumentación con base en evidencias y la determinación de contraargumentos. | Algunas veces 51.72% | 30 estudiantes de 58 expresaron que el docente algunas veces ejecuta este procedimiento. | Rutina de pensamiento Afirmar-Sustentar- Cuestionar. |
| Fuente: Instrumento de Diagnóstico (2019). Elaboración: Propia. |
De manera general, en concordancia con las cuantificaciones y el análisis estadístico realizado, se pudo establecer que el docente en el proceso de enseñanzaaprendizaje de la Matemática en el tercer año de Bachillerato General Unificado desconoce las modalidades, nombres y procedimientos técnicos de aplicación de las rutinas de pensamiento.
En efecto, con base en estos resultados se puede interpretar que existe un uso empírico de estos procedimientos didácticos, los cuales no son tomados como una metodología estructurada y sistematizada para construir el pensamiento y una cultura de análisis, reflexión, y creación, sino más bien como enunciados y procedimientos derivados de la experiencia del docente.
4. Discusión
De acuerdo con Giménez (2002), citado por Puga y Jaramillo (2015), es importante saber cómo los estudiantes construyen el conocimiento y cómo reflexionan sobre aquellas construcciones, por lo que se plantea el siguiente problema (INEVAL, 2018b) y su posible solución, aplicando las rutinas de pensamiento expuestas:
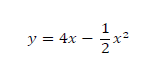
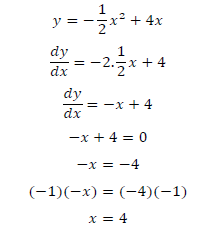
La entrada a un túnel que tiene forma parabólica está modelada por la función:

Donde y es la altura y x la distancia horizontal, ambas medidas en metros.
Si desde el punto más alto del túnel se suspende, con una cadena de 2 metros de largo, un letrero rectangular de 1 metro de alto. Calcule la altura h, en metros desde el piso hasta la base inferior del letrero.
Posible procedimiento:

Fig. 6. Gráfico de la entrada del túnel.
Fuente: Ejercicio propuesto.
Elaboración: Propia.
4.1. Rutinas de pensamiento, para introducir y explorar ideas
Para introducir y explorar ideas referentes al ejercicio propuesto, el docente formula a los estudiantes las interrogantes: ¿qué veo?, ¿qué pienso? y ¿qué me pregunto?, interrogantes que pueden ser respondidas de manera individual o grupal.
Para estructurar el pensamiento fundamentado en el marco referencial de Ritchhart, Church y Morrison (2014), Romero y Pulido (2015) sugieren diseñar organizadores gráficos que permitan evidenciar y facilitar la construcción del pensamiento.
En la Tabla 7 se presentan posibles enunciados como aporte de los estudiantes, con sugerencias por parte del profesor.
| ¿QUÉ VEO? | ¿QUÉ PRIENSO? | ¿QUÉ ME PREGUNTO? |
| Una parábola se abre
hacia abajo. Una parábola presenta un punto máximo. La altura h solicitada es parte de la altura máxima H del túnel. |
Una parábola es
la representación
gráfica de una
función cuadrática. La función cuadrática tiene la forma: y = ax2 + bx + c La altura máxima H es la distancia desde el suelo hasta el punto más alto de la parábola. Como h es parte de la altura máxima H se puede utilizar la primera derivada para calcularla. |
¿Al derivar la forma
cuadrática podré
encontrar un valor,
punto crítico para las
abscisas, igualando la
primera derivada a 0? ¿Con el valor crítico para las abscisas podré calcular la altura máxima H? |
| Fuente: Propuesta (2019). Elaboración: Propia. |
||
Las interrogantes ¿qué veo?, ¿qué pienso? y ¿qué me pregunto? promueven el pensamiento crítico implicando una actitud flexible y cuestionadora sujeta a tomar en consideración distintos puntos de vista para generar un análisis (Grez, 2018, p. 68). Desde esta perspectiva, este camino metodológico propuesto en la asignatura de Matemática conllevará a alimentar la creatividad y la capacidad de producir nuevas ideas, habilidades y aprendizajes. Lo cual motivará a los educandos a ejecutar diferentes formas de razonar; procesos que derivarían en la aplicación de acertados algoritmos de solución.
A partir de estos lineamientos teóricos, este procedimiento didáctico contribuirá a proponer soluciones creativas a situaciones concretas que, de acuerdo con el currículo propuesto por el Ministerio de Educación del Ecuador (2016), es el primer objetivo general del área de Matemática.
4.2. Rutinas de pensamiento para sintetizar y organizar ideas
Para sintetizar y organizar ideas, se desarrollará en torno a los cuestionamientos propuestos en las interrogantes ¿qué me pregunto? y ¿cómo puedo determinar el valor máximo de la parábola?, tomando en consideración aportes, tales como:
Se organizarán las ideas, mediante la reflexión propuesta con la rutina de pensamiento Yo solía pensar..., Ahora pienso que...
Según Arévalo, Pardo y Quiazua (2014), esta rutina involucrará pensamientos que desarrollen en el estudiante el análisis, la comparación, la estimación, la generalización y la solución de problemas. Esta rutina de pensamiento es ideal para expresar o descomponer el todo en sus partes, generar otros hechos e identificar una alternativa viable para resolver una dificultad.
| YO SOLÍA PENSAR... | AHORA PIENSO QUE... |
Que un punto mínimo o máximo
en una función cuadrática solo se
podía calcular con la expresión: que representa el vértice de la parábola Que el valor máximo o mínimo era el resultado de igualar la primera derivada a cero. |
Que el valor máximo o mínimo
se puede obtener al igualar la
primera derivada a cero. Que los puntos críticos de las abscisas, en una función pueden determinarse a través del cálculo de la primera derivada: Que el valor máximo o mínimo de las ordenadas se obtiene evaluando el valor de la abscisa en la función original, obteniendo el punto de inflexión de la parábola: P(4,8) "Punto máximo" |
| Fuente: Propuesta (2019). Elaboración: Propia. |
De acuerdo con Cifuentes (2018), este procedimiento metodológico permitirá organizar el pensamiento y reflexionar sobre los conocimientos construidos, considerando las relaciones causa y efecto. Por ende, esta rutina facilitará al educando la reflexión sobre sus propias ideas favoreciendo de esta manera la metacognición.
Debido a estas premisas teóricas, esta metodología aportará a la Matemática procesos de reconstrucción en resoluciones de problemas de la vida real, interpretaciones del lenguaje matemático, uso de propiedades numéricas y algebraicas, y argumentación en la validez de los resultados; lineamientos pragmáticos constructivistas sobre los cuales, según el Ministerio de Educación del Ecuador (2016), se fundamenta el currículo de Matemática.
4.3. Rutinas de pensamiento para profundizar ideas
Para profundizar ideas, se propone a continuación la rutina de pensamiento Luz roja, luz amarilla, con la cual se desarrollará la última etapa del ejemplo propuesto.
Según Ritchhart, Church y Morrison (2014), esta rutina involucra tipos de pensamiento que permiten argumentar ideas e identificar errores en las argumentaciones.
A continuación, se registra un conjunto de posibles enunciados qeu pueden ser categorizados como luces amarillas y luces rojas, en relación con el desarrollo del ejemplo presentado.
| Luz Amarilla | Luz Roja |
¿Cuál es la altura en metros desde
el piso hasta la base inferior del
letrero?
|
El punto máximo (4.8) indica la
altura en metros desde el piso
hasta la base inferior del letrero.
No puesto que la componente
en “y” del valor máximo indica
únicamente la altura del túnel
modelada por la función: ![]() |
| Fuente: Propuesta (2019). Elaboración: Propia. |
Con base en todo este proceso de construcción del pensamiento, se ha podido determinar que la altura en metros desde el piso hasta la base inferior del letrero es 5 m.
Alineado con Castro (2018), esta rutina de pensamiento se relaciona, a modo de metáfora, con un semáforo, donde la luz amarilla nos permitirá ir despacio en el proceso de enseñanza-aprendizaje, mientras que la luz roja indicará detenernos con la finalidad de cuestionar la veracidad de los argumentos propuestos.
Bajo este marco interpretativo, la rutina de pensamiento para profundizar ideas denominada Luz roja, luz amarilla aportará en la argumentación de la pertinencia de los métodos utilizados para solucionar problemas como también en los juicios de validez de los resultados, premisas que, de acuerdo con el currículo propuesto por el Ministerio de Educación del Ecuador (2016), componen el cuarto objetivo general del área de Matemática.
5. Conclusiones
En este artículo se han analizado los lineamientos teóricos relacionados con las rutinas de pensamiento, como un proceso innovador constructivista en la enseñanza de la Matemática. Para ello, este proceso investigativo giró en torno a la interrogante ¿cómo utilizan los docentes
las rutinas de pensamiento en el proceso de enseñanzaaprendizaje de la Matemática en el tercer año de Bachillerato de la Unidad Educativa Fiscal Arturo Borja?, y se puede concluir que las rutinas de pensamiento tienen porcentajes bajos de uso en el proceso de enseñanzaaprendizaje de la Matemática en el caso estudiado.
En la modalidad de rutinas de pensamiento para introducir y explorar ideas, el proceso menos utilizado por el docente es la rutina conocida como Ver-Pensar- Preguntarse. En contraste, la rutina de pensamiento conocida como 3-2-1, Puente es la que el docente usa con mayor frecuencia.
En la modalidad de rutinas de pensamiento para sintetizar y organizar ideas, los procedimientos más utilizados por el docente son las rutinas conocidas como Titulares y Generar-Organizar-Conectar- Elaborar, mientras que la rutina de pensamiento conocida como Yo solía pensar... Ahora pienso que... es la menos utilizada.
En la modalidad de rutinas de pensamiento para profundizar ideas, el procedimiento menos empleado en la enseñanza-aprendizaje de la Matemática por parte del docente es la rutina conocida como Luz roja, luz amarilla. Dentro de esta modalidad, no existen resultados determinantes que expresen un uso frecuente, lo que sí se indica mayoritariamente es que la rutina de pensamiento conocida como Afirmar-Sustentar-Cuestionar se utiliza algunas veces.
De las cuantificaciones expuestas en el apartado de resultados se puede ultimar que el docente de Matemática utiliza empíricamente estos procedimientos didácticos de los cuales desconoce su nombre técnico, desarrollo y los tipos de pensamiento que involucra, despierta y genera en los estudiantes. Además, existe un uso empírico de estos procedimientos didácticos, los cuales no son tomados como una metodología estructurada y sistematizada para construir el pensamiento y una cultura de análisis, reflexión, y creación, sino más bien como enunciados y prácticas derivados de la experiencia del docente.
Por otra parte, sustentado en el andamiaje conceptual desarrollado en función de las rutinas de pensamiento con el constructivismo como filosofía de enseñanza, y en el proceso de discusión realizado, se puede concluir que las rutinas de pensamiento son una innovación necesaria en la enseñanza de la Matemática del Ecuador, puesto que son un proceso metodológico constructivista que desarrolla habilidades de pensamiento y procesamiento de información, considera los aprendizajes previos, y favorece el diálogo desequilibrante y la implicación activa de los estudiantes. En definitiva, son consideradas como fundamentos teóricos constructivistas congruentes con el currículo de bachillerato del área de Matemática del país.
Las rutinas de pensamiento son una necesidad en la formación y especialización de los docentes del Ecuador en esta rama del saber, debido a que este proceso didáctico conllevará a alimentar la creatividad y la capacidad de producir nuevas ideas, habilidades y aprendizajes. De igual manera estas prácticas argumentarán la pertinencia de los métodos utilizados para solucionar problemas matemáticos. Ampliando así en el docente competencias genéricas, competencias específicas de la asignatura, competencias pedagógicas y competencias didáctico- Matemáticas.
Del análisis bibliográfico desarrollado se concluye que las rutinas de pensamiento son una metodología alineada con los requerimientos pragmáticos constructivistas del currículo del área Matemática propuesto por el Ministerio de Educación del Ecuador, las cuales a partir de sus lineamientos teóricos aportan al cumplimiento de estos fines. Estos constructores de cultura contribuirán en los procesos de reconstrucción Matemática en torno a la resolución de problemas aplicados en la cotidianidad, interpretaciones del lenguaje matemático, uso de propiedades numéricas-algebraicas y argumentación de la validez de los resultados.
6. Recomendaciones
Considerando el estudio realizado se proponen las siguientes recomendaciones:
Referencias
Anacona, M. (2003). La historia de las Matemáticas en la educación Matemática. EMA, 8(1), 30-46.
Araya, N. (2014). Las habilidades del pensamiento y el aprendizaje significativo en matemática de escolares de quinto grado en Costa Rica. Actualidades Investigativas en Educación, 14(2), 66-95. doi:10.15517/AIE.V14I2.14744
Arévalo, L., Pardo, S. & Quiazua, M. (2014). Desarrollo del pensamiento crítico a partir de rutinas de pensamiento en niños de ciclo 1 de educación. [Tesis de Maestría]. Universidad de la Sabana.
Brunning, R., Schaw, G., Norby, M. & Ronning, R. (2004). Cognitive Psychology and Instruction. New Jersey: Pearson Education.
Carbonell, J. (2002). La aventura de innovar. El cambio en la escuela. Madrid: Morata.
Casanova, M. (1998). La evaluación educativa. Madrid: SEP.
Castro, R. (2018). Pensamiento visible: Rutinas de pensamiento en aulas rurales. [Tesis de Maestría]. Universidad de Valladolid.
Cifuentes, J. (2018). Movimiento en el aprendizaje de las rutinas de pensamiento en profesores. Praxis & Saber, 9(19), 121-139.
Feo, R. (2010). Orientaciones Básicas para el Diseño de Estrategias Didácticas. Tendencias Pedagógicas, 16, 220-236.
Giménez, J. (2002). ¿Construir o no construir? Esa no es la cuestión. UNO. Revista de Didáctica de las Matemáticas, 25, 5-7.
Grez, F. (2018). Veo, pienso y me pregunto. El uso de rutinas de pensamiento para promover el pensamiento crítico en las clases de historia a nivel escolar. Revista Praxis Pedagógica, 18(22), 65-84.
Hernández, R., Fernández, C. & Batista, L. (2006). Metodología de la investigación. 5th ed. México: McGraw Hill.
Hamodi, C. & López, A. (2017). La evaluación formativa y compartida en la Formación Inicial del Profesorado desde la perspectiva del alumnado y de los egresados. Psychology, Society, & Education, 4(1), 103-116.
Hyslop-Margison, E., & Stroebel, J. (2008). Constructivism and education: Misunderstandings and pedagogical implications. The Teacher Educator, 43(1), 72- 86. doi:10.1080/08878730701728945
Instituto Nacional de Evaluación Educativa (INEVAL). (2018a). Educación en Ecuador Resultados de PISA para el Desarrollo. OECD, 2-7.
Instituto Nacional de Evaluación Educativa (INEVAL). (2018b). Documentación-Evaluaciones.
McMillan, J. & Schumacher, S. (2005). Investigación educativa. Nueva York: Pearson.
Ministerio de Educación del Ecuador. (2016). Currículo de los niveles de educaciøon obligatoria.
Morales, M. y Restrepo, I. (2015). Hacer visible el pensamiento: alternativa para una evaluación para el aprendizaje. Infancias Imágenes, 14(2), 89-100. doi: 10.14483/udistrital.jour.infimg.2015.2.a06
Morales, Y., Fonseca, J. & García, M. (2014). En búsqueda de un perfil académico-profesional del personal docente de matemáticas. Unión, Revista Iberoamericana de Educación Matemática, 38, 85-101.
Naranjo, G., Pérez, L. & Sánchez, L. (2017). La enseñanza de la comprensión del texto de problemas matemáticos con el uso de la regla de tres compuesta en la carrera educación básica. Didasc@lia: Didáctica y Educación, 8, 213-226.
Nazaret Global Education (2014). Cultura de Pensamiento.
Ortiz Granja, D. (2015). El constructivismo como teoría y método de enseñanza. Sophia, 1(19), 93-110. doi:10.17163/ soph.n19.2015.04
Piaget, J. (1955). The Language and Thought of the Child. Nueva York: New American Library.
Puga, L. & Jaramillo, L. (2015). Metodología activa en la construcción del conocimiento matemático. Sophia, 19(2), 291-314. doi:10.17163/soph.n19.2015.14
Ritchhart, R., Church, M. & Morrison, K. (2014). Hacer visible el pensamiento. Buenos Aires: Paidós.
Romero, Y. & Pulido, G. (2015). Incidencia de las rutinas de pensamiento en el fortalecimiento de habilidades científicas: observar y preguntar en los estudiantes de grado cuarto, ciclo II del colegio rural José celestino mutis I.E.D. [Tesis de Maestría]. Universidad de la Sabana.
Serrano, J. & Pons, R. (2011). El Constructivismo hoy: enfoques constructivistas en educación. Revista Electrónica de Investigación Educativa, 13(1), 1-27.
Villarruel, M. (2011). El constructivismo y su papel en la innovación educativa. Revista de Educación y Desarrollo, 20, 19-28.